We’ve all been told a firm handshake makes a good impression. But what if that simple squeeze was also a powerful window into your overall health? For decades, medical science has demonstrated that grip strength is one of the most crucial and easily measurable vital signs available. Research consistently shows that a simple grip strength test can predict a range of outcomes, including frailty, risk of falls, and recovery after surgery.
In this article, we explore why grip strength matters, the challenges of measuring it in weak patients, and how modern solutions are transforming rehabilitation and critical care.
CONTENTS
1- Why grip strength matters for health and frailty
2- The challenge: Measuring grip strength in the weakest patients
3- A new reliable grip dynamometer: The K-Grip
4- Grip strength in rehabilitation and recovery
5- Bonus: How to improve your grip strength?
6- Key takeaways
7- Reference
1- Why is grip strength a key indicator of health?
Grip strength may seem like a small detail, but in reality, it functions as a powerful biomarker of health. Unlike many clinical tests that require complex equipment or invasive procedures, a simple grip strength test provides immediate insights into a patient’s muscular capacity and resilience. A strong grip correlates with better health outcomes, while low grip strength is strongly linked to:
- A higher risk of fragility and sarcopenia
- Longer hospital stays and slower recovery from illness or surgery
- Increased risk of cardiovascular disease and even mortality
For clinicians, grip strength is one of the simplest yet most informative tools available. A handgrip strength assessment can be completed in seconds, is entirely non-invasive, and offers a baseline measure that can be tracked over time. Beyond medicine, grip strength also correlates with physical performance, endurance, and quality of life, making it equally valuable for physical therapists, sports scientists, and rehabilitation specialists.
But this vital sign has had a critical blind spot: how do you measure strength in someone too weak to even register on a standard device?
2- The challenge: Measuring grip strength in the weakest patients
While grip strength testing is simple in healthy individuals, it becomes far more complex in patients suffering from severe muscle weakness. This is particularly true in the Intensive Care Unit (ICU), where patients frequently develop ICU-acquired weakness as a result of prolonged immobilization, mechanical ventilation, or critical illness. For these individuals, accurately measuring muscle function is essential to guide rehabilitation, predict recovery outcomes, and prevent long-term disability.
The problem lies in the tools traditionally used. Traditional dynamometers, often considered the “gold standard”, have a significant limitation. They require a minimum amount of force to even move the needle (Ingrid D van Iperen et al, 2024). Many of the most vulnerable patients simply can’t produce enough force, leaving their clinicians without objective data to track their recovery.
This gap has significant implications. Without reliable measurements, rehabilitation teams may struggle to tailor therapy, track progress, or demonstrate even small but important improvements. For patients, it means their hard work and small victories often go unseen. Until recently, there was no validated solution to accurately measure grip strength in this vulnerable population.
3- A new reliable grip dynamometer: The K-Grip
A recent study published in Clinical Rehabilitation set out to solve this exact problem. Researchers investigated a modern, highly sensitive device: The K-Grip dynamometer, to see if it could be a reliable and accurate tool for this specific, vulnerable patient population.

The researchers evaluated the K-Grip on three critical fronts:
Is it reliable (consistent)?
Reliability means a tool gives you the same result under the same conditions. The study tested this in two ways: having the same therapist measure multiple times (intra-rater) and having two different therapists measure (inter-rater).
The result: The K-Grip demonstrated excellent reliability. The Intraclass Correlation Coefficient (ICC), a statistical measure of reliability, was incredibly high (0.98 for the same tester and 0.94 for different testers). In simple terms, the device provided consistent, repeatable measurements every time, which is essential for tracking a patient’s progress.

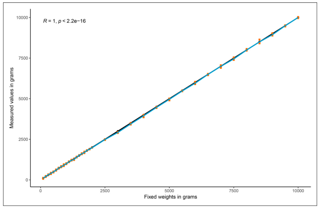
Fig 1. Scatterplot of the linear association between the calibration weights and the mean readings of the K-Grip® (blue line). The black line represents the ideal situation of all readings being equal to the calibration weights, where the orange dots represent the readings of the different measurement sessions.
Is it valid (accurate)?
Validity means the tool accurately measures what it’s supposed to measure. Instead of comparing it to another dynamometer (which wouldn’t work for this weak population), the researchers tested the K-Grip against precise, known calibration weights.
The result: The study found a perfect correlation (r=1) between the K-Grip’s readings and the actual weights. This is an exceptional finding that proves the device is not just consistent, but exquisitely accurate, even at the very low force levels produced by ICU patients.

Fig 2. Standardised testing positions for (A) concurrent validity measurements and (B) reliability measurements.
Is it usable (practical)?
A tool can be reliable and accurate, but if it’s cumbersome or difficult to use, it won’t be adopted in a busy clinical setting. The researchers had 11 healthcare professionals evaluate the device using the industry-standard System Usability Scale (SUS).
The result: The K-Grip received an “excellent” usability score of 86/100. Clinicians found it easy to use, intuitive, and well-suited for the ICU environment.
💡 The K-Grip dynamometer isn’t just highly sensitive and reliable; it’s also fully connected to the Kinvent app, enabling real-time tracking, data visualization, and patient engagement. Therapists can monitor progress over time, set goals, and even use gamified exercises to motivate patients during rehabilitation. Want to try out the K-Grip dynamometer?
4- Grip strength in rehabilitation and recovery
This study confirms that with the right technology, we can now objectively measure strength in even the most severely weakened individuals. For patients in the ICU, this is a true game-changer for rehabilitation. Accurate grip strength measurement allows therapists to:
- Get a true baseline of a patient’s strength, no matter how low.
- Track tiny, meaningful improvements that were previously invisible.
- Use real-time biofeedback and even gamified exercises on the connected app to motivate patients and enhance their engagement in rehabilitation.
The clinical implications are profound. Grip strength is not just a measure of hand muscle power; it is a vital sign reflecting overall health and recovery potential. By using validated sensors like the K-Grip dynamometer, healthcare professionals now have a reliable, accurate, and practical method to monitor progress, tailor interventions, and celebrate even the smallest achievements.
Ultimately, no patient effort should go unnoticed. With modern technology, every squeeze counts, and every improvement, however subtle, can guide more effective rehabilitation strategies.
5- Bonus: How to improve your grip strength?
Improving grip strength doesn’t require expensive equipment or intense workouts, especially for older adults or patients recovering from illness. With consistent practice and the right exercises, anyone can strengthen their hands and forearms. Here are evidence-based strategies:
Hand exercises
- Hand clench: Make a fist, squeeze tightly for 3–5 seconds, then slowly release. Repeat 10–15 times per hand.
- Finger extensions: Spread fingers wide, hold for a few seconds, then relax. Repeat 10–15 times.
- Towel wring: Twist a towel as if wringing out water, alternating directions. This mimics real-life motions like wringing out cloth or carrying objects.
- Tennis ball or therapy putty: Squeeze or manipulate multiple times a day in short sessions to build endurance and strength.
Resistance tools
- Use small dumbbells for wrist curls or farmer carries.
- Elastic bands: Perform finger and hand exercises by stretching bands between fingers.
- K-Grip dynamometer: Progressive grip training with real-time feedback and goal tracking. Start with low resistance and gradually increase.
Functional activities
- Everyday tasks like opening jars, carrying groceries, using utensils, or gardening can naturally enhance grip strength.
- Dead hang: Hang from a sturdy bar for as long as comfortable. This strengthens fingers, hands, and forearms while improving shoulder stability.
Sport and fitness integration
- Rock climbing, rowing, or kettlebell training naturally challenge grip strength.
- Even bodyweight exercises like pull-ups or push-ups engage hand muscles indirectly.
- Integrating grip-focused exercises into your regular sport routine accelerates strength gains.
Consistency matters
- Short, frequent sessions are more effective than occasional intense workouts.
- Track your progress to stay motivated and celebrate small improvements.
Professional guidance
Physical therapists or trainers can tailor exercises to individual ability levels, ensure proper technique, and prevent strain.
💡 Reminder: Grip strength improvement supports overall muscle health, enhances functional independence, and reduces the risk of falls, especially in older adults. Read our article on how to prevent falls in older adults by measuring grip strength.
6- Key takeaways
- Grip strength is a vital health marker: Low grip strength predicts frailty, longer recovery, increased fall risk, and even higher mortality.
- Measuring grip strength in weak patients is challenging: Traditional dynamometers often fail to capture very low force levels, especially in ICU-acquired weakness.
- The K-Grip dynamometer offers a solution: Highly sensitive, reliable, and accurate even at minimal force levels, with excellent usability for clinicians.
- Rehabilitation and recovery benefit from objective measurement: Accurate grip data allows therapists to track small improvements, set goals, and motivate patients with real-time feedback.
- Grip strength can be improved safely and effectively: Hand exercises (hand clench, finger extensions, towel wringing), resistance tools, functional tasks, and sport activities strengthen the hands and forearms.
- Consistency and professional guidance are key: Short, frequent sessions and personalized exercise plans maximize gains and minimize risk.
- Practical implication: Strengthening grip supports overall muscle health, functional independence, and fall prevention, especially in older adults.
7- Reference
van Iperen ID, Stegink D, Tempert- de Haan BL, Flim M, van der Stoep R, Spronk PE. Reliability, validity, and usability of the K-Grip® dynamometer to evaluate handgrip strength in patients with intensive care unit-acquired weakness. Clinical Rehabilitation. 2024;39(1):67-77. doi:10.1177/02692155241295979


